
工作條件為:介質液氨,t=33℃,λ=5.9×10^-4kgf/cm3,Pv=15×100kPa,Qmax=15m3/h,對應Qmax之p1,p2,△pmin為(530、130、400)×100kPa,Qmin=5m3/h,△pmax = 500×100kPa,s=0.2,選用高壓閥,直線特性,帶定位器工作,求口徑DN。
1.流量已經確定為:Qmax=15m3/h。
2.壓差確定為:△pmin = 400×100kPa,△Pmax=500×100kPa.
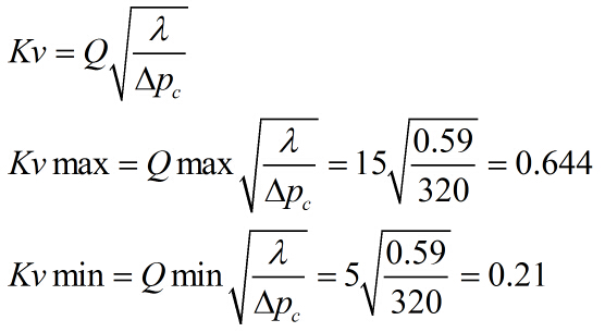
3.Kv值計算
第一步:查表所得Fl=0.8.
第二步:決定流動狀態(tài)
以為0.5p1>>pv,所以
又因為△pmin > △pc,所以均為阻塞流。
第三步:采用阻塞流動狀態(tài)的Kv值計算公式:
4.根據Kvmax=0.64,查高壓閥流量系數,得DN=10,dg=7,其Kv=1.0
5.開度驗算
因Kv=1只有直線特性,應采用直線特性驗算公式,故有
大開度Kmax<89%,小開度Kmin>10%,故Kv=1.0驗算合格
6.可調比驗算
驗算合格。
7.壓差校核△p<[△p],(因ds<dg)校核通過。
8.結論:DN=10,dg=7,Kv=1.0,驗算合格